脉冲星有稳定的自转周期,其稳定性足以和原子钟媲美,有可能成为有实用价值的时间标准,脉冲星因此被称为“宇宙中最稳定的钟”。但是脉冲星发现不久便观测到脉冲星的自转有不稳定性,主要表现为两类:周期跃变(Glitch)和时间噪声(Timing noise)。
周期跃变是脉冲星自转周期的突然变化。通常表现为在脉冲星自转减慢(自转周期逐渐增长)的过程中突然自转加快(自转周期突然变短),由于大多数周期跃变发生时没有观测到辐射特征的变化,因此跃变现象很可能是与中子星的内部结构变化有关。目前主要有两个理论模型来解释脉冲星周期跃变的发生机制和跃变规律:星震模型和超流涡丝模型。
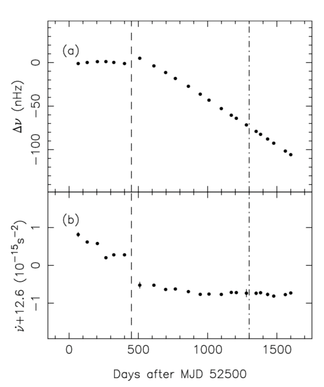
新疆天文台脉冲星团组利用南山观测站25米射电望远镜对PSR B2035+36的到达时间观测数据分析发现,PSR B2035 +36在MJD 52950发生了一次比较小的跃变,但是跃变的自转减慢率相对较大;不同寻常的是跃变后的自转减慢率演化趋势与正常跃变的相反,导致跃变后的平均自转减慢率比跃变前增大了9.6%。更有趣的是辐射模式伴随跃变发生变化:跃变后脉冲轮廓变窄;且跃变后有两种稳定积分脉冲轮廓(辐射模式),脉冲星在这两种辐射模式间切换,且窄的脉冲轮廓主导趋势越来越明显。
脉冲星的周期跃变一般认为是星体内部结构变化导致的;辐射变化一般认为来自于星体外部磁层的起伏。PSR B2035+36的观测直接说明磁层的变化与周期跃变有关,也就是星体内部结构的变化有可能导致外部磁层的起伏。研究人员通过星风制动模型探究脉冲星自转和辐射的关联,星体内部结构和外部磁层的关系,并探究外部磁层起伏的诱发因素。
相关成果发表在英国《皇家天文学会月刊》,(MNRAS-L,478,L24)
文章链接:https://doi.org/10.1093/mnrasl/sly068


左图:PSR B2035+36 自转频率和自转减慢率的变化(虚线为跃变时刻)。
右图:PSR B2035+36 脉冲轮廓的半高全宽(W50)的分布。



